Abstrak
Model utilitas ini mengungkap batu minyak olahan dengan rol tirus konveksitas logaritmik. Dua sisi batu minyak persegi panjang dalam arah panjang tersusun dari permukaan cekung ke dalam, yang memiliki bentuk yang sama dan terdistribusi secara simetris. Sisi ketiga batu minyak persegi panjang dalam arah panjang adalah permukaan cekung dengan radius dan lancip yang sama dengan rol tirus. Teori penggilingan menyatakan bahwa jumlah pemotongan benda kerja berbanding lurus dengan panjang busur kontak. Rancang struktur batu minyak berdasarkan kurva konveksitas logaritmik yang dihitung, dan dapatkan konveksitas logaritmik yang diperlukan setelah menggiling batu minyak. Penggunaan struktur ini untuk memproses konveksitas rol memerlukan peralatan pemrosesan yang sederhana, biaya rendah, dan pengoperasian yang mudah, yang memecahkan masalah pemrosesan rol konveksitas logaritmik yang sulit dan berbiaya tinggi serta memiliki nilai rekayasa dan manfaat ekonomi yang tinggi.
Keterangan
Rol tirus konveksitas logaritmik memurnikan batu minyak
Tbidang teknik
Model utilitas ini berkaitan dengan batu minyak yang digunakan untuk memproses rol cembung, khususnya batu minyak penggilingan presisi rol kerucut berpola logaritmik.
Teknologi latar belakang
Kontak antara roller dengan panjang terbatas dan jalur lintasan menyebabkan konsentrasi tegangan di ujung roller, sehingga mengurangi masa lelah bantalan gelinding. Desain pembentukan roller dapat meningkatkan kapasitas menahan beban dan masa lelah bantalan gelinding, sehingga pemilihan konveksitas roller dan perhitungan pengukuran konveksitas telah menjadi salah satu isu utama. Jenis-jenis roller konveks umumnya meliputi tipe garis lurus, tipe busur semi-cembung, tipe busur sepenuhnya cembung, tipe garis termodifikasi, dan tipe logaritmik. Tipe logaritmik saat ini dianggap sebagai tipe roller konveks yang paling ideal, tetapi kesulitan pemrosesannya dan biayanya yang tinggi membuatnya sulit untuk digunakan secara luas dalam rekayasa.
Sringkasan penemuan
Tujuan dari model utilitas ini adalah untuk mengatasi kekurangan teknologi yang ada dan menyediakan batu minyak penggilingan presisi untuk rol tirus cembung logaritmik, yang cocok untuk memproses rol tirus cembung logaritmik.
Solusi teknis yang diadopsi oleh model utilitas ini adalah:
Kedua sisi batu minyak persegi panjang pada arah memanjang tersusun dari permukaan cekung ke dalam, yang memiliki bentuk yang sama dan terdistribusi secara simetris. Sisi ketiga batu minyak persegi panjang pada arah memanjang adalah permukaan cekung dengan radius dan lancip yang sama dengan rol lancip.
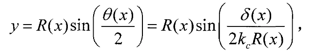
Persamaan kurva proyeksi permukaan cekung pada bidang bawah adalah:

Dalam rumus: x - koordinat sepanjang sumbu rol tirus; Y - koordinat radial sepanjang rol tirus; δ (x) - jumlah yang akan digiling; KC - Koefisien penggilingan; R (x) - jari-jari rol tirus.
Teori penggilingan menyatakan bahwa jumlah pemotongan benda kerja sebanding dengan panjang kontak. Oleh karena itu, dengan merancang struktur batu minyak, tujuan pengendalian panjang busur kontak antara batu minyak dan rol dapat tercapai, dan konveksitas logaritmik rol dapat dikerjakan. Langkah-langkah perancangan adalah sebagai berikut:
Besarnya yang akan digiling δ (x) diperoleh dari nilai konveksitas rol T (x), dan hubungan antara besarnya yang akan digiling dengan panjang busur kontak adalah sebagai berikut:
δ(x)=kcL(x)
Dalam rumus: L (x) - panjang busur kontak, dan L (x)=θ (x) R (x), di mana θ (x) adalah sudut keliling yang sesuai dengan panjang busur kontak keliling antara rol dan batu minyak selama penggilingan.
Hitung sudut kontak θ (x):

Dari sini dapat disimpulkan bahwa kurva proyeksi 7 permukaan depan 3 pada bidang bawah mempunyai persamaan sebagai berikut:

Lengkung proyeksi 8 dari permukaan belakang 5 pada bidang bawah dan lengkung proyeksi 7 dari permukaan depan 3 pada bidang bawah simetris terhadap x. Jari-jari kelengkungan lengkung proyeksi 9 dari tampilan penampang melintang AA dari permukaan atas 1 pada bidang samping adalah jari-jari rol tirus R (x).
Manfaat dari model utilitas ini adalah:
1. Peralatan pemrosesan yang dibutuhkan sederhana, hemat biaya, dan mudah dioperasikan;
2. Dapat memproses rol tirus konveksitas logaritmik apa pun, sehingga memecahkan masalah pemrosesan konveksitas logaritmik yang sulit dan mahal saat ini;
3. Batu minyak struktural ini dapat memastikan bahwa kinerja pemrosesan aslinya dapat dipertahankan setelah jangka waktu penggunaan tanpa mempengaruhi akurasi pemrosesan.
Deskripsi gambar terlampir

Gambar 1 merupakan diagram skema struktur batu minyak untuk penggilingan presisi rol tirus cembung logaritmik.

Gambar 2 adalah tampilan depan dari Gambar 1.

Gambar 3 adalah tampilan penampang yang diambil sepanjang garis AA pada Gambar 2.

Gambar 4 adalah tampilan atas Gambar 1.

Gambar 5 merupakan diagram skematik yang diperbesar dari busbar logaritmik rol tirus yang diperoleh dengan memproses batu minyak menurut penemuan masa kini.
Pada gambar: 1. Permukaan atas; 2. Bidang sisi kiri; 3. Permukaan depan; 4. Bidang sisi kanan; 5. Permukaan belakang; 6. Bidang bawah; 7. Kurva proyeksi permukaan depan 3 pada bidang bawah; 8. Kurva proyeksi permukaan belakang 5 pada bidang bawah; 9. Kurva proyeksi penampang melintang AA permukaan 1 pada bidang samping.
Metode implementasi khusus
Model utilitas saat ini akan dijelaskan lebih lanjut bersama dengan gambar-gambar terlampir dan perwujudan spesifik.
Seperti yang ditunjukkan pada Gambar 1, kedua sisi batu minyak persegi panjang pada arah panjang tersusun dari permukaan depan cekung ke dalam 3 dan permukaan belakang cekung ke dalam 5. Kedua permukaan tersebut memiliki bentuk yang sama dan terdistribusi secara simetris. Sisi ketiga batu minyak persegi panjang pada arah panjang adalah permukaan atas 1, yang cekung dengan radius yang sama dengan rol tirus. Bidang kiri 2, bidang kanan 4, dan bidang bawah 6 semuanya adalah bidang. 7 adalah kurva proyeksi permukaan depan 3 pada bidang bawah, 8 adalah kurva proyeksi permukaan belakang 5 pada bidang bawah, dan 9 adalah kurva proyeksi penampang melintang AA dari permukaan atas 1 pada bidang samping.
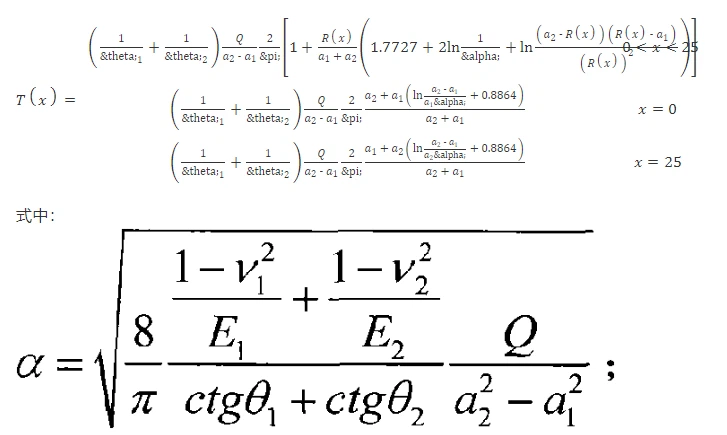
Diameter ujung besar rol tirus adalah 20 mm, diameter ujung kecil adalah 13,418 mm, dan panjangnya 25 mm. Dalam contoh ini, Lundberg mengusulkan rumus konveksitas Lundberg yang terkenal pada tahun 1939, yaitu sebagai berikut:

θ 1, θ 2- setengah sudut kontak antara roller dan jalur dalam dan luar; A1, a2- jari-jari ujung besar dan jari-jari ujung kecil kerucut; Q - Beban; R (x) - jari-jari roller pada setiap penampang melintang; E1, E2- modulus elastisitas material roller dan jalur; V1, v2- rasio Poisson material roller dan jalur; T (x) - nilai konveksitas roller tirus.
Pada proses sebelumnya, kedua ujung rol dipotong miring pada sudut 45 derajat dengan jarak 2 mm. Oleh karena itu, saat mendesain batu minyak, hanya konveksitas pada x ∈ [2, 23] yang dirancang, yang sesuai dengan R (x) ∈ [6,972, 9,737]. θ1=21,311 derajat ,θ2=13,811 derajat , a1=6,709 mm,a2=10 mm,Q=2kN,E1=E2=206GPa,v1=v2=0,3. Substitusi rumus konveksitas menghasilkan:

Dari persamaan di atas, Tmax=0.0167, maka jumlah yang harus digiling adalah

Dengan mempertimbangkan kelonggaran pemesinan sebesar 0.003mm, jumlah aktual yang harus digiling adalah

Ambil kc=0.0034, sesuai dengan rumus

Persamaan untuk kurva 7 pada Gambar 2 (c) adalah

Kurva proyeksi 8 dari permukaan belakang 5 pada bidang bawah pada Gambar 4 simetris terhadap sumbu-x terhadap kurva proyeksi 7 dari permukaan depan 3 pada bidang bawah. Jari-jari kelengkungan kurva proyeksi 9 dari tampilan penampang melintang AA dari permukaan atas 1 pada bidang samping adalah R (x). Setelah menggiling batu minyak, diagram skematik yang diperbesar dari generatrix logaritmik dari rol tirus yang ditunjukkan pada Gambar 5 dapat diperoleh.
Uraian di atas hanyalah perwujudan khusus dari model utilitas saat ini, dan model utilitas saat ini tidak terbatas pada perwujudan di atas. Model ini dapat dimodifikasi dalam berbagai bentuk selama tetap konsisten dengan ide teknis yang dijelaskan dalam klaim. Meskipun spesifikasi ini mengungkapkan skema implementasi khusus dari model utilitas saat ini, cakupan perlindungan tidak terbatas pada hal ini, dan modifikasi apa pun yang dilakukan atas dasar ini harus dilindungi oleh klaim yang dilampirkan pada aplikasi ini.
2024 1 AgustusRekomendasi Produk WBM Minggu Ini:
Heading mati, Pukulan:
WBM memproduksi taper roller dies dengan efisiensi dan otomatisasi tinggi. Rol dibentuk pada satu mesin press cold heading otomatis dan dimasukkan, dipotong, dan dilubangi ke dalam die selama lima langkah.
Kami dapat memproduksi berbagai jenis dan ukuran taper roller dies dengan jaminan kualitas, meliputi: Combination Punch, Outside Sleeve, Blade, Combination Punch, Feed Cylinder, Combination Dies, Double Layer Sleeve, Insert.
https://www.w-bm.com/products/Taper-roller-cold-heading-dies/Heading-dies,Punch/400.html

